AC circuit equations
Inductive reactance

Capacitive reactance

Impedance in relation to R and X
ZL = R + jXL
ZC = R - jXC
Ohm's Law for AC

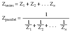
Series and Parallel Impedances

NOTE: All impedances must be calculated in complex number form for these equations to work.
Resonance

NOTE: This equation applies to a non-resistive LC circuit. In circuits containing resistance as well as inductance and capacitance, this equation applies only to series configurations and to parallel configurations where R is very small.
AC power

